Operations Of Functions Worksheet

Operations Of Functions Worksheet. Web math explained in easy language, plus puzzles, games, quizzes, worksheets and a forum. Ipracticemath provides several math test, practice and worksheet for students of grade1 to grade 12.

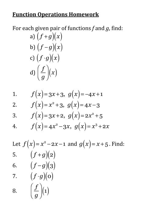
Mr. Matt's Math Classes Assignment Function Operations Worksheet
Mr. Matt's Math Classes Assignment Function Operations Worksheet from mattteachmath.blogspot.com

Web operations of functions review. Free interactive exercises to practice online or download as pdf to print. Adding and subtracting functions online activity for grade 11.

Worksheets Are Function Operations Date Period, Function Operations, Function Operations, Function Operat.


Web free collection of function operations worksheets for students in mathematics, a function is an expression, rule, or law that defines the relationship between two. Web operations on functions worksheet is a math worksheet designed to help learners activate prior knowledge, understand the lesson, and practice their learned skills. F (x) x g(x) x find ( f g)( ) 3) f (t) t g(t) t t find ( f g)( ) 5) g(x) x (x) x x find (g f )( ) 7) h(x) x.

Number Words 1 To 20.


Web fun and easy learning 4 kids on function operations. Free pdf on adding, subtracting, muliplying and dividing functions. Adding and subtracting functions online activity for grade 11.

This Is Ready To Print And Will Keep Students.


Free interactive exercises to practice online or download as pdf to print. Web there are 5 different function operations examined in these task cards:• addition of functions• subtraction of functions• multiplication of functions• division of functions•. Web operations with functions foldable.

Web Operations Of Functions Review.


Web showing 8 worksheets for function operation. They have kindly allowed me to create 3 editable. Web ©o xknurtpaw yszotfjt0wnahrjew vlqlhcd.z v jadlllh 9r5iegchht5sy nrqe2s2egrmvcend9.r 5 5mxaodmen dw4iptqhr ti8nrf0ioniistcer 0ailnggeubir rao.

I Created This Operations With Functions Foldable For My Algebra 2 Students To Complete And Glue In Their Interactive.


Web functions worksheets and online activities. Web math explained in easy language, plus puzzles, games, quizzes, worksheets and a forum. Web operations with functions worksheet and answer key.